Geometric Progression
Assalamualaikum darling semua....
let us recap again the lesson yesterday.
Geometric Progression will have : Common Ratio , r.
How to get it?
r = t2/t1 or
= t3/t2 or
= t4/t3 and other
in general... r = tn-1/tn
Simply by dividing the second term with the first term.
The Rule- To find the nth
For any given question, The main steps are:
1. Check the sequence whether it is a geometric progression(GP) or arithmetic progression(AP).
2. Identify the common different,d-(AP) or common ratio,r-(GP)
3. Identify the first term
Let say you are given a question :
Example 1: Find the 10th term of the sequence: 2, 4, 8, ...
let us solve it step by step...
Step 1 : Check whether the sequence is AP or GP.
So, it is a Geometric Progression(GP).
Step 2: Since it is a GP, so the r = 2.
Step 3: The first term, a = 2.
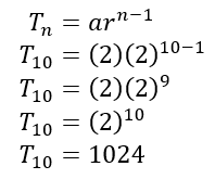
Solution:
Example 2 : Find the number of terms of the
sequence : 2 , 6 , 18 , …. 486
Start with : Determine whether it is GP or AP? (Very important, so that we use the correct formula)
So, it is a Geometric Progression(GP).
Step 2: Since it is a GP, so the r = 3.
Step 3: The first term, a = 2.
Solution:
Further exercise :
Download Module Progression (If you don't have it) : MODULE
Solve Question page 13 & 14.
If you have finish learning the lesson, please continue and fill in the feed back.
(This is also the attendance)
OK guyss.. happy learning.. #studyADDMATHathome



No comments:
Post a Comment